
分析
考虑 f[i][j] 表示 有 i 个 a 和 j 个匹配的 ab 的期望
容易想到转移
f[i][j]=pa/(pa+pb)∗f[i+1][j]+pb/(pa+pb)∗f[i][j+i]
因为单独一个 b 无法对 ab 产生贡献,所以最后的答案是 f[1][0]
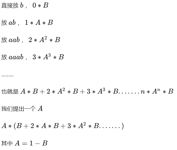
现在要考虑 如果前面都是 a 的情况要如何处理
如果当 i+j>=k 时,只要再放一个 b 就可以了
那么就是在考虑第一次放 b 后的子序列 ab 期望个数


因为不好确定
dp方向,所以进行记忆化搜索
Code
1 2 3 4 5 6 7 8 9 10 11 12 13 14 15 16 17 18 19 20 21 22 23 24 25 26 27 28 29 30 31 32 33 34 35 36 37 38 39 40 41 42 43 44 45
| const int mod = 1e9+7; template<int T> struct ModInt { const static int MD = 1e9+7; int x; ModInt(ll x = 0) : x(x % MD) {} int get() { return x; } ModInt operator + (const ModInt &that) const { int x0 = x + that.x; return ModInt(x0 < MD ? x0 : x0 - MD); } ModInt operator - (const ModInt &that) const { int x0 = x - that.x; return ModInt(x0 < MD ? x0 + MD : x0); } ModInt operator * (const ModInt &that) const { return ModInt((long long)x * that.x % MD); } ModInt operator / (const ModInt &that) const { return *this * that.inverse(); } void operator += (const ModInt &that) { x += that.x; if (x >= MD) x -= MD; } void operator -= (const ModInt &that) { x -= that.x; if (x < 0) x += MD; } void operator *= (const ModInt &that) { x = (long long)x * that.x % MD; } void operator /= (const ModInt &that) { *this = *this / that; } ModInt inverse() const { int a = x, b = MD, u = 1, v = 0; while (b) { int t = a / b; a -= t * b; std::swap(a, b); u -= t * v; std::swap(u, v); } if (u < 0) u += MD; return u; } }; typedef ModInt<mod> mint; mint pa,pb; int k;
bool st[1005][1005]; mint f[1005][1005];
mint dfs(int i,int j){ if(st[i][j]) return f[i][j]; st[i][j] = 1; if(i+j >= k) return f[i][j] = (pa/pb+i+j); return f[i][j] = (pa/(pa+pb))*dfs(i+1,j) + (pb/(pa+pb))*dfs(i,j+i); } signed main() { cin >> k >> pa.x >> pb.x; cout << dfs(1,0).get() << endl; return 0; }
|
mint 板子
1 2 3 4 5 6 7 8 9 10 11 12 13 14 15 16 17 18 19 20 21 22 23 24 25 26
| template<int T> struct ModInt { const static int MD = 1e9+7; int x; ModInt(ll x = 0) : x(x % MD) {} int get() { return x; } ModInt operator + (const ModInt &that) const { int x0 = x + that.x; return ModInt(x0 < MD ? x0 : x0 - MD); } ModInt operator - (const ModInt &that) const { int x0 = x - that.x; return ModInt(x0 < MD ? x0 + MD : x0); } ModInt operator * (const ModInt &that) const { return ModInt((long long)x * that.x % MD); } ModInt operator / (const ModInt &that) const { return *this * that.inverse(); } void operator += (const ModInt &that) { x += that.x; if (x >= MD) x -= MD; } void operator -= (const ModInt &that) { x -= that.x; if (x < 0) x += MD; } void operator *= (const ModInt &that) { x = (long long)x * that.x % MD; } void operator /= (const ModInt &that) { *this = *this / that; } ModInt inverse() const { int a = x, b = MD, u = 1, v = 0; while (b) { int t = a / b; a -= t * b; std::swap(a, b); u -= t * v; std::swap(u, v); } if (u < 0) u += MD; return u; } }; typedef ModInt<mod> mint;
|
学习资料